MassHunter 按照每个重复数据求出比率,再将这些比率的平均值作为正式的比率使用。
在校正曲线表中选中内标时,样品数据中的待测元素计数值除以内标单位浓度的计数值,算出 y 。校正曲线中的初始级别浓度作为样品数据的内标浓度。
y=ys /(yi/xi)(xi=0 时,y=ys)
这里
xi: 校正曲线中的初始级别内标元素的浓度
yi : 内标元素计数值
ys : 待测元素计数值
该值 y 在「浓度计算」中作为测定值使用。
样品数据的待测元素浓度如下计算。
这里
x: 待测元素的浓度
y: 待测元素的测定计数
a: 校正曲线系数 a
b: 校正曲线系数 b
c: 校正曲线系数 c
这里
blk: 空白计数值
使用线性回归时,标准偏差 (SD) 如下计算。

n: 重复次数
xi: 浓度
所谓 DL 就是相当于 3σB 的浓度。
使用 y=ax+b 等线性时,
DL=3σB/a
这里,3σB:浓度 0 级别计数标准偏差的 3 倍
a :y=ax+b 中的 a
单位保持在校正曲线中设置的内容,不更改
VIS 校正插值公式用于计算最新校正曲线和当前样品数据中使用的所有内标的更改率。与普通内标校正类似,当前数据的内标浓度级别,使用校正曲线级别 1 的值。当曲线拟合方式为「线性」或者「平方」时,根据所有内标的变化率创建校正公式。选择「点到点计数校正」时,每 2 个内标点创建一个校正公式。
这里
Cps_ci, Conc_ci : 用于更新校正曲线的最新数据的内标的 CPS 和浓度
Cps_si, Conc_si : 当前样品数据的内标的 CPS 和浓度(浓度为校正曲线级别 1 的值)
点到点计数校正(Y = aX + b 使用相邻 2 个内标。默认)
线性(Y = aX + b 使用全部内标)
这里
Mi : 内标质量数的数目
n : 内标数(「点到点计数校正」时为 2 个)
Ri : 标准溶液数据和样品数据间的内标 CPS 变化率
Ma : 要进行定量分析的元素的质量数的数目
平方(Y = aX2+bX+c 使用所有内标)
这里
Mi : 内标质量数的数目
n : 内标数
Ri : 标准溶液数据和样品数据间的内标 CPS 变化率
Ma : 要进行定量分析的元素的质量数的数目
Cps_na = Cps_sa×Ra
这里
Cps_na : 进行定量的元素的校正后 CPS
Cps_sa : 进行定量的元素 CPS
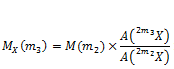
受 X 干扰的信号按照以下方程式进行计算。
其中,A(μ)为 μ 的丰度,M(μ)为 μ 的信号,mi 为 X 的 M ++ 的 m / z。μ 为干扰元素的同位素。
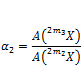
因子 α2 按照以下方程式进行定义。
按照以下方程式进行计算。
干扰信号
按照以下方程式进行计算。
下表中显示的是各参数。
75As 的校正 |
78Se 的校正 |
66Zn 的校正 |
||||||
X |
M++ |
丰度 |
X |
M++ |
丰度 |
X |
M++ |
丰度 |
Nd |
m3: 75 |
5.6 |
Gd |
m3: 78 |
20.47 |
Ba |
m3: 66 |
0.1 |
m2: 72.5 |
8.3 |
m2: 77.5 |
14.8 |
m2: 67.5 |
6.59 |
|||
Sm |
m3: 75 |
7.38 |
Dy |
m3: 78 |
0.06 |
|
||
m2: 73.5 |
14.99 |
m2: 81.5 |
24.90 |
|||||
该校正仅适用于全定量分析。不适用于半定量分析和其他分析模式。